超聲波氣體流量計的時差法檢測與數值分析
使用2組超聲換能器制作了基于時差法的超聲波流量計, 并將其應用于圓形管道中流場的測試.依據實驗中所使用的圓形管道測試系統, 理論上使用有限元方法構建了圓形管道中穩恒流場的流速分析模型.數值分析結果表明:實驗中獲取的管道內流速為測試位置截面處流體的平均流速, 該測試值與理論值相差5.2%.考慮到實際測試環境與理想流體測試環境間的差異, 實驗結果與理論分析結果基本一致.
相對于現有的流量檢測技術[1-5], 如:電磁流量計、渦街流量計、渦輪流量計、轉子流量計、差壓流量計、質量流量計等, 超聲波流量計具有與被檢測介質的非接觸性、通用性廣、適應性強以及安裝與維護簡便等特點, 因此超聲波流量計被廣泛地應用于現代工業的各個領域[6-9], 尤其是石油、天然氣、水利、化工等行業.其發展經歷了漫長的過程, 1931年德國科學家Ruttgen[1-2]首次提出了利用時差法測量流量的概念, 并進行了可行性的理論預測, 但在當時的儀器精度下難以實現.以此為基礎, 此后出現了大量的理論與實驗驗證, 但直到1955年美國科學家使用“鳴環法”[1-2], 即:利用聲音在液體中傳播過程中的多次反射所產生的時間差計算液體的流量, 才將超聲波流量計從實驗室應用到工業領域, 然而由于此檢測電子系統的過于復雜, 使得該流量計并未被廣泛推廣應用.20世紀70年代隨著電子技術的快速發展, 超聲波流量計的穩定性、可靠性以及測量精度得到了很大提高, 同時也促進了流量測量原理的迅速發展, 如:時差法、多普勒法、波束偏移法、相關法、空間濾波法及噪聲法等[4,7].目前常用的算法主要是時差法和多普勒法, 測量度也相對較高[8-10].時差法測量原理適用于純凈的或含有顆粒直徑小于1mm的流體材料檢測, 而多普勒法檢測原理適合于含有較大顆粒的流體檢測.目前, 超聲波流量計的研究主要集中超聲流量計的設計以及算法的修正上[10-12], 而對管道內的流場分布特性上尚有不足、針對流場測試中的不足之處, 本文利用有限元方法, 構建圓形管道中流場的理論分析模型, 并數值分析管道中的空氣流場在風機驅動下管道內流速的分布特性;實驗上利用時差法測量流量原理, 實驗測定相同管道中空氣在風機驅動下流場的平均流速, 并與理論分析結果相印證.
1 理論與實驗裝置
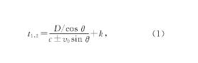
使用2對中心頻率均為40kHz的超聲波傳感器作為探測器, 用于檢測口徑為18cm的有機玻璃導管中的流體速度.2對超聲波傳感器的安裝方式如圖1所示, 將4個超聲波傳感器兩兩配對構成兩組測試探測器, 其中每組中各含1個接收和發射傳感器, 將2組傳感器分別安裝在被測導管的兩側, 且每組中的收/發超聲探測器和另外一組中的發/收超聲探測器分別一一相對, 并保持聲程一致.這樣當管道中有速度為v0的流體流動時, 經過相應聲程所需要的時間為


其中, D為管徑, θ為超聲發射方向與流體流速方向的夾角, k為由于儀器誤差所加的修正值, ±分別代表超聲傳播的聲速矢量方向與流體速度矢量方向相同或相反.

圖1 實驗裝置示意圖
測試獲得的兩路超聲信號間的時間差為


由于v0遠小于c, 化簡 (2) 式可得


實驗中采用直徑為18cm的有機玻璃管作為測量管道, 在管道兩側成64°夾角放置2組超聲波探頭, 實驗中采用函數信號發生器驅動超聲波傳感器, 分別將采集到的信號輸入前置放大電路, 將經前置放大的信號輸入數字示波器顯示并采集記錄到計算機, 由計算機進行***后的信號處理, 以獲取管道中流體的流速.
2 實驗結果與討論
在如圖1所示的實驗裝置的一端使用小型風機向測試管內送風, 使用DF601熱式智能風速變送器標定風機的輸出風速為2.860m/s.使用示波器監控2組超聲探頭的輸出信號, 其結果如圖2所示, 其中虛線所示為超聲傳播的聲速矢量方向沿管軸的分量與流體速度矢量方向相同的超聲信號, 實線為逆向信號.實線所示信號滯后于虛線所示信號, 其滯后的時間量反映了超聲波信號被管道中流場所調制而導致的超聲波信號在相同聲程條件下傳輸時間的變化特性.

圖2 雙通道測量信號
由互相關理論可知, 互相關函數反映了2個相互間存在時延信號的相似程度, 而該相似度不僅可以用于判斷信號的存在與否, 還可以推斷信號到達的時間和距離, 即可以依據互相關函數***大值時的延遲量, 計算出兩接收信號之間的時間差.依據此原理, 計算逆流和順流時所獲取超聲波信號的互相關特性, 其結果如圖3所示.依據兩通路信號的互相關系數得到逆流方向所獲取的聲信號比順流方向所獲取的聲信號滯后約26個采樣點, 由采樣周期可得逆流信號比順流信號共滯后5.2μs, 將該結果代入式 (3) , 可得管道中流體的流速v0=0.814m/s.與實際測量得風機出口的流速相比, 此結果遠小于風機出口的風速.

圖3 所檢測獲取的兩路信號的互相關特性
以圖1所示的測量管道為模型, 利用有限元分析方法構建在標準大氣壓下測量管道中的流體模型, 在管道中心處加載口徑為50 mm、流速為2.860 m/s的流場, 模擬實驗中所使用的風機.在此條件下數值分析管道內流場, 其模擬結果如圖4所示.取管道中與實際測試位置相同處的管道橫切面, 該橫切面的流速分布如圖5所示, 管道中流速的等速分布圖呈中心對稱, 且流場中的速度分布呈中心高、邊沿低的分布特性, 其中心***大流速約為2.781m/s, 然后逐漸降低, 在邊緣處約為0.080m/s.
根據實驗公式[13], 管內流速分布可描述為

圖4 管道中的數值模擬流場

圖5 管道中橫截面模擬流場的等速線分布
將圖5中的模擬結果代入式 (4) 中, 使用***小二乘法擬合管道中的數值流場速度分布特性, 則可得到模擬流場中的平均流速為0.859m/s.此結果與實驗中所得到的流場速度0.814 m/s接近, 偏差為5.2%.由于在實驗分析中, 采用的聲速按照340m/s的標準值進行數值分析, 未對實際測試環境下的聲速進行標定[14];再加上忽略了有機玻璃管道對流動空氣的黏滯性影響.綜合上述誤差因素, 數值模擬證明, 實驗中所獲取的管道中流場的流速為管道中整個流場速度的平均值, 且與管道中的流場均值速度基本相符.
從實驗原理以及測試的過程中的信號處理上看, 如在以下幾方面進行適當改進將提高實驗結果的準確性.首先, 如在實驗進行前使用標準流速進行預先的實驗標定將有助于實驗結果的準確性;其次, 采用高質量高頻超聲傳感器也將有效地提高測量結果, 但由于高頻超聲在流體中的衰減較快, 因而在選擇傳感器時應兼顧測量量程的需求, 在測程和準確性之間尋求***佳的匹配;此外, 適當地提高采樣速率也可提高測量結果的準確性, 但其對高頻采樣的硬件電路要求較高, 易導致成本的非線性增長.
3 結束語
采用基于有限元的數值分析方法分析了管道中空氣流場在外界風機作用下的空氣流速分布特性, 并使用時差法建立了針對圓柱形管道的超聲波流場測試計量實驗系統, 利用該測試系統可獲取管道內流場的平均流速, 且該流速與基于有限元的數值模擬結果基本一致.
致謝:在本課題的完成過程中, 南京大學聲學所為本項目提供了相關的實驗儀器、場地, 南京大學聲學所張仲寧老師為實驗裝置設計提出了建設性的改進措施.
