本質安全型防爆電磁流量計
摘要:電磁流量計廣泛應用于艦船、化工、石油、水泥、醫藥等領域, 其具有結構簡單、測量范圍大、度高等優點, 然而其使用場所環境惡劣, 為了保證其防爆性能以及降低能耗, 本文介紹了電磁流量計設計基本原理、防爆電路設計和艦船外殼鹽霧試驗及防護方法, 并對勵磁線圈仿真, 該仿真可以作為勵磁系統研究的模型, 提高電磁流量計設計效率。
0、引言:
流量計是測量流體在一段時間內流過的體積或者質量的儀器, 對于生產過程非常關鍵。隨著技術快速發展, 流量計種類越來越多, 比如電磁流量計、超聲流量計、熱式流量計以及震動流量計等, 電磁流量計以其簡單的結構、可靠性高、精度高等優點, 在生產和生活中應用比例占60%以上。然而, 由于在艦船中其經常處于潮濕、腐蝕的使用環境, 為此電磁流量計的防爆性能設計和降低流量計電池耗能研究成為熱點。
1、電磁流量計設計基本原理:
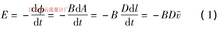
電磁流量計是通過利用法拉第電磁感應定律設計, 圖1為電磁流量計結構示意圖, 管內為導電性流體, 勵磁線圈為閉合回路, 依據麥克斯韋電磁場理論, 產生工作磁場。
對于直導體, 在磁場中產生的感應電動勢E

式中, B—磁感應強度;D—導體長度;V—運動速度。
圖2為流體流動方向、磁場方向和感應電動勢方向, 符合右手規律, 感應電動勢大小見式 (1) , 對于管道內流體流量Q大小見式 (2)

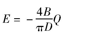
將式 (2) 中V求出, 帶入式 (1) 可得

由式 (3) 可知, 管道尺寸確定, 感應電動勢E與流量Q成正比。

圖1 電磁流量計結構示意圖

圖2 磁場示意圖
2、防爆電路設計:
依據釋放源存在部位、釋放數量、擴散情況和通風情況等條件, 爆炸場所可分為0區、1區和2區, 對于礦用產品, 可以用于0區的產品防爆類型只有本質安全性, 對于用于0區的防爆電磁流量計, 防爆性能至關重要。
本質安全型電氣設備是指在正常運行和規定的故障條件下, 所產生的火花或者熱效應均不能點燃爆炸性氣體混合物的電氣設備
GB 3836.4—2010中要求的隔離包括爬電距離、電氣間隙和接地等要求, 比如在GB 3836.4—2010表5中, 依據電壓值來設計電氣間隙、爬電距離以及選擇合適的CTI值絕緣材料。能量限制主要涉及到元件額定值選擇, 依據GB 3836.4—2010, 電路分為電阻性電路、電感性電路和電容性電路, 如圖3所示。電磁流量計傳感器電氣部分由連個線圈組成, 包括電阻和電感, 依據GB3836.4—2010圖A1中, 根據電磁流量計防爆類型和電源電壓, 確定***小點燃電流, 比如設計工作電壓為18V的IIC類本安電路, 點燃電流為0.66A, 此外, 要是電路考慮安全系數, 若是安全系數為1.5, 則***大電流應小于0.44A。根據GB 3836.4—2010圖A6, 依據電壓和電流, 選擇合適電感值, 對于18V、0.44A的電感電路, 電感設計應在0.8mH以下。
![圖3 電磁流量計電氣部分[1]](http://www.snxxt.com/wp-content/themes/module/themer/assets/images/lazy.png)
圖3 電磁流量計電氣部分[1]
為了無論電路在正常工作狀態還是故障狀態, 使本安端有定壓和定流輸出特性, 如圖4所示。選擇合適二極管安全柵或者齊納安全柵, 若勵磁信號是周期性雙向電流, 可以選擇TVS管。
![圖4 電磁流量計電氣部分[1]](http://www.snxxt.com/wp-content/themes/module/themer/assets/images/lazy.png)
圖4 電磁流量計電氣部分[1]
3 勵磁線圈仿真
利用COMSOL仿真軟件, 對彎圓形、彎菱形和馬鞍型線圈進行仿真, 采用相同線圈材料材質和相同用料量, 并在相同勵磁電流、勵磁頻率條件下, 比較勵磁線圈產生的工作磁場強度分布情況。
首先建立仿真幾何模型, 如圖5所示, 為彎圓形勵磁線圈模型, 進行電特性、磁特性和邊界條件設置, 進行網格分析劃分等步驟, ***后仿真可得磁場分布情況, 圖6為磁力線分布, 圖7為磁感應強度分布。對于彎菱形和馬鞍型線圈采用相同步驟進行仿真模擬, 如圖8所示, 為馬鞍型勵磁線圈。

圖5 彎圓形勵磁線圈幾何模型

圖6 X-Y面磁力線分布


圖8 馬鞍型勵磁線圈幾何模型
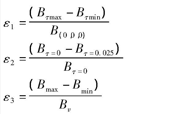
通過模擬結果可以直觀得出相應空間點和面的磁場大小、磁場對稱情況, 為了更好比較不同幾何形態的磁場沿管中軸線方向、管軸線方向和整個區域內的均勻度情況, 設定ε1、ε2、ε33個均勻度參數, 表達式如下

仿真結果表明, 三種形狀勵磁線圈磁感應強度大小關系為:馬鞍形***小、彎圓形***大。均勻度分析表明, ε1:馬鞍形***小, 彎菱形***大;ε2:馬鞍形***小, 彎菱形***大;ε3:馬鞍形***小, 彎菱形***大。因此, 磁感應強度越大, 電極收到的信號越大, 所以彎圓形效果***好;由于磁場均勻度越小, 表明越均勻, 渦電流損耗和磁場邊緣效應越小, 為此, 馬鞍型勵磁線圈效果***好。
4、艦船外殼鹽霧試驗及防護:
艦船用電磁流量計外殼材質一般為鑄鐵、鑄鋼和不銹鋼, 海洋中鹽霧濃度高、海水飛沫多造成設備腐蝕嚴重, 鹽霧是由于氯化物的微小液滴懸浮于空氣中形成的, 鹽霧直接影響到設備的使用周期和可靠性, 因此, 流量計外殼應進行鹽霧試驗, 試驗方法主要有戶外暴露試驗和實驗室鹽霧箱模擬兩種, 使用標準有GB/T 2423.17—2008《電工電子產品基本環境試驗規程試驗Ka:鹽霧試驗方法》和GB/T 2423.18—2000《電工電子產品環境試驗第2部分:試驗試驗Kb:鹽霧, 交變 (氯化鈉溶液) 》。
5、結語:
電磁流量計由于其使用環境特殊, 因此其防爆性能和勵磁系統研究至關重要, 本文對電磁流量計基本原理和防爆電路設計進行詳細闡述, 并對不同形狀線圈感應磁場進行了仿真模擬。
