大口徑電磁流量計流量不準確的校準方法



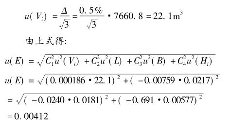
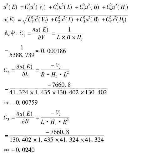
以上校準結果能否可能作為校準結果進使用呢?下面我們對現場校準的結果進行測量不確定度評估:




一、概述
智能電磁流量計由傳感器和轉換器兩部分構成。它是基于法拉第電磁感應定律工作的,用來測量電導率大于5μS/cm導電液體的體積流量,是一種測量導電介質體積流量的感應式儀表。除可測量一般導電液體的體積流量外,還可用于測量強酸強堿等強腐蝕液體和泥漿、礦漿、紙漿等均勻的液固兩相懸浮液體的體積流量。
廣泛應用于石油、化工、冶金、輕紡、造紙、環保、食品等工業部門及市政管理,水利建設、河流疏浚等領域的流量計量。
二、特點
·智能電磁流量計測量不受流體密度、粘度、溫度、壓力和電導率變化的影響。
·智能電磁流量計測量管無阻礙流動部件、無壓損、直管段要求較低。
·智能電磁流量計傳感器可帶接地電極,實現儀表良好接地。
·智能電磁流量計傳感器采用先進加工工藝,使儀表具有良好的抗負壓能力。
·轉換器采用液晶背光式顯示,可使反射陽光下或暗室內的讀數變得容易。
·通過紅外線遙控設定參數,在惡劣的環境下不打開轉換器的蓋板也可以安全的進行設定。
·智能電磁流量計轉換器具有自診斷報警輸出,空負載檢測報警輸出,流量上下限報警輸出,兩極流量值報警輸出等功能。
·智能電磁流量計不僅可用于一般的過程檢測,還適用于礦漿、紙漿及糊狀液的測量。
三、詳細參數
|
儀表通經 |
DN10-DN2000 |
|
公稱壓力 |
0.6 ~ 70MPa |
|
精度等級 |
0.5級或1.0級 |
|
安裝方式 |
法蘭安裝,可選法蘭夾持 |
|
環境溫度 |
-25℃~+60℃ |
|
介質溫度 |
分體型: 氯丁橡膠襯里、聚氨酯襯里:-10℃~+8℃ PTFE襯里、PFA襯里、F46襯里:-10℃~+160℃ 一體型: -10℃~+80℃ |
|
介質電導率 |
>5μs/cm |
|
可測較低流速 |
0.1米/秒 |
|
可測***高流速 |
15米/秒 |
|
量程比 |
1:20,可按客戶要求訂制 |
|
顯示器 |
標配 |
|
信號輸出 |
脈沖/4-20mA(負載電阻0-750Ω) |
|
供電電源 |
220VAC,允差15%或+24VDC,紋波≤5% |
|
通訊接口 |
可選RS485/RS232 |
|
通訊協議 |
MODBUS、HART、Profibus等 |
|
測量管體(襯里)材質 |
氯丁橡膠、聚氨酯、PTFE、PFA、F46等耐腐材料 |
|
測量元件(電極)材質 |
316L不銹鋼、鈦合金、哈氏合金、鉭合金、鉑銥合金、碳化鎢等 |
|
防爆等級 |
Exd[ia]qIICT5/ ExmbⅡT4 |
|
結構形式 |
一體型、分體型、沉浸型、防爆型 |
|
防護等級 |
IP65、IP68可選 (IP65:塵密、防噴水;IP68:塵密、可連續浸水,只限分體型) |
|
整機功耗 |
<15W |
常用流速-流量對照表流速(m/s); 流量(m3/h) 口徑(mm)
|
0.5 |
1 |
2 |
3 |
4 |
5 |
6 |
7 |
8 |
9 |
10 |
|
|
10 |
0.14 |
0.28 |
0.57 |
0.85 |
1.1 |
1.4 |
1.7 |
2. |
2.3 |
2.5 |
2.8 |
|
15 |
0.32 |
0.64 |
1.3 |
1.9 |
2.5 |
3.2 |
3.8 |
4.5 |
5.1 |
5.7 |
6.3 |
|
20 |
0.57 |
1.1 |
2.3 |
3.4 |
4.5 |
5.7 |
6.8 |
7.9 |
9.0 |
10 |
11 |
|
25 |
0.88 |
1.8 |
3.5 |
5.3 |
7.1 |
8.8 |
11 |
12 |
14 |
16 |
17.6 |
|
32 |
1.4 |
2.9 |
5.8 |
8.7 |
12 |
14 |
17 |
20 |
23 |
26 |
28.9 |
|
40 |
2.3 |
4.5 |
9.0 |
14 |
18 |
23 |
27 |
32 |
36 |
41 |
45.2 |
|
50 |
3.5 |
7.1 |
14 |
21 |
28 |
35 |
42 |
49 |
57 |
64 |
70 |
|
65 |
6.0 |
12 |
24 |
36 |
48 |
60 |
72 |
84 |
96 |
107 |
119 |
|
80 |
9.0 |
18 |
36 |
54 |
72 |
90 |
109 |
127 |
145 |
163 |
180 |
|
100 |
14 |
28 |
57 |
85 |
113 |
141 |
170 |
198 |
226 |
254 |
282 |
|
125 |
22 |
44 |
88 |
132 |
177 |
221 |
265 |
309 |
353 |
397 |
441 |
|
150 |
32 |
64 |
127 |
191 |
254 |
318 |
382 |
4, 45 |
509 |
572 |
636 |
|
200 |
57 |
113 |
226 |
339 |
452 |
565 |
678 |
791 |
904 |
1017 |
1131 |
|
250 |
88 |
177 |
353 |
530 |
707 |
883 |
1060 |
1236 |
1413 |
1590 |
1767 |
|
300 |
127 |
254 |
509 |
763 |
1017 |
1272 |
1526 |
1780 |
2035 |
2289 |
2545 |
|
350 |
173 |
346 |
692 |
1039 |
1385 |
1731 |
2077 |
2423 |
2769 |
3116 |
3464 |
|
400 |
226 |
452 |
904 |
1356 |
1809 |
2261 |
2713 |
3165 |
3617 |
4069 |
4523 |
|
450 |
286 |
572 |
1145 |
1717 |
2289 |
2861 |
3434 |
4006 |
4578 |
5150 |
5725 |
|
500 |
353 |
707 |
1413 |
2120 |
2826 |
3533 |
4239 |
4946 |
5652 |
6359 |
7069 |
|
600 |
509 |
1017 |
2035 |
3052 |
4069 |
5087 |
6104 |
7122 |
8139 |
9156 |
10180 |
|
700 |
692 |
1385 |
2769 |
4154 |
5539 |
6924 |
8308 |
9693 |
11078 |
12463 |
13847 |
|
800 |
904 |
1809 |
3617 |
5426 |
7235 |
9043 |
10852 |
12660 |
14469 |
16278 |
18086 |
|
900 |
1145 |
2289 |
4578 |
6867 |
9156 |
11445 |
13734 |
16023 |
18312 |
20602 |
22891 |
|
1000 |
1413 |
2826 |
5652 |
8478 |
11304 |
14130 |
16956 |
19782 |
22608 |
25434 |
28260 |
|
1200 |
2035 |
4069 |
8139 |
12208 |
16278 |
20347 |
24417 |
28486 |
32556 |
36625 |
40694 |
|
1400 |
2769 |
5539 |
11078 |
16617 |
22156 |
27695 |
33234 |
38773 |
44312 |
49851 |
55390 |
|
1600 |
3617 |
7235 |
14469 |
21704 |
28938 |
36173 |
43407 |
50642 |
57876 |
65111 |
72346 |
|
1800 |
4578 |
9156 |
18312 |
27469 |
36625 |
45781 |
54937 |
64094 |
73250 |
82406 |
91562 |
|
2000 |
5652 |
11304 |
22608 |
33912 |
45216 |
56520 |
67824 |
79128 |
90432 |
101736 |
113040 |
