氣體渦輪流量計儀表系數|計算|原理
什么是渦輪流量計:渦輪流量計屬于葉輪式速度流量計的一種,它和渦街流量計、電磁流量計等,都是利用測量管道內介質流動速度來得到流量的。我們稱這種測量方法為流量的速度式測量方法,這是目前流量測量的主要方法之一。速度式流量計對管道內流體的速度分布有一定的要求,流量計前必須有一定長度的直管段,以形成穩定的速度分布,這是速度式流量計的一個共同特點。
眾所周知,置于流體中的葉輪是按與流速成正比的角速度旋轉的。通過測量葉輪的旋轉角速度就可得到流體的流速,從而得到管道內的流量值。在工業上使用的高準確度葉輪式流量計就被稱為渦輪流量計。測量精度高是渦輪流量計的重要特點,一般指示精度高達~,它還具有結構較簡單、重量輕、流通能力大(用小型表可測大流量)、很容易實現脈沖信號遠距離傳送和可適應高參數(高溫、高壓和低溫)等特點。
渦輪流量計已經被廣泛應用于石油、有機液體、無機液、液化氣、天然氣、煤氣和低溫流體等流體對象的測量中。在國外液化石油氣、成品油和輕質原油等的轉運及集輸站,大型原油輸送管線的首末站都大量采用它進行貿易結算。在歐洲和美國,渦輪流量計是僅次于孔板流量計的天然氣計量器具,僅荷蘭在天然氣管線上就采用了多臺各種尺寸,壓力從到的氣體渦輪流量計。它們已成為優良的天然氣流量計。
數學計算模型的建立:
通過對作用在渦輪上力矩的分析,可以定性地確定各種因素對渦輪流量計工作特性的影響,從而建立渦輪流量計的數學模型。
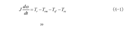
作用在渦輪上的力矩有:流體通過渦輪時對葉片產生的推動力矩;渦輪軸與軸承之間摩擦產生的機械摩擦阻力矩;流體通過渦輪時對渦輪產生的流體阻力矩;電磁轉換器對渦輪產生的電磁阻力矩。由此根據牛頓第二運動定律,可建立渦輪的運動微分方程:

式中——渦輪的轉動慣量;ω——渦輪的旋轉角速度。一般地,電磁阻力矩比較小,可以忽略其影響。在正常工作條件下,可認為管道內流體的流量是穩定的,即渦輪旋轉的角速度是穩定的,這樣就有:

在這三個力矩中,機械摩擦阻力矩對給定的流量可近似看做常數;流體阻力矩與流動狀態有關。在理論模型中可不必給出和的具體關系表達式。那么需要理論分析的,就是推動力矩。為此,要對渦輪葉片作受力分析。

圖渦輪進出口速度分布圖
如圖,設定經過導流葉的軸向來流速度為流體離開渦輪葉片時速度為,來流與圓周方向的夾角為α,流體離開渦輪時與圓周方向夾角為α,渦輪葉片與軸向夾角為θ。
很顯然,使渦輪產生旋轉的只有圓周方向的力。根據動量定理,物體所受沖量等于動量的變化量,考慮渦輪進、出口的周向動量變量,有:



式中——流體對渦輪周向的作用力可認為作用在平均半徑上;ρ——流體的密度;——流體的流量;——時間內流過的流體體積;在渦輪進口,如圖中所示的圓周運動分量為,則有:
在渦輪出口,同樣如圖中所示葉輪在平均半徑處的旋轉線速度為流體對于出口渦輪葉片的相對速度為則:

如圖中所示α是的軸向分量α是圓周方向分量。根據不可壓縮流體的連續性原理,渦輪進、出口軸向流量相等,則有:





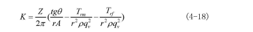
Z——渦輪葉片數。將運動方程寫成儀表系數的形式為:

這就是經過充分簡化后的渦輪流量計的數學模型,它可以定性地描述渦輪流量計的基本特性。
渦輪流量計的特性分析:
理想特性曲線:
在理想狀態下,也就是假定渦輪處于勻速運動的平衡狀態,機械摩擦阻力矩Trm和流體阻力矩Trf都足夠小至可以忽略不計的狀態,儀表系數與流量的關系為:

可見,理想特性僅僅與渦輪流量計的結構參數有關,儀表系數為一個常數,與流體的流動狀況無關。

圖4-3渦輪流量計理想特性曲線
始動流量值:
對于實際工作的渦輪流量計,必須先克服軸承的靜摩擦力矩后才能開始轉動。克服靜摩擦力矩所需的***小流量值被稱為始動流量值q vm,。 渦輪始動時,其旋轉角很小,可以忽略流體阻力矩Tf的影響,并且此時可認為其輸出脈沖頻率也為零。那么從式(4-17) , (4-18)很容易得到:

分析上式,可以知道,機械摩擦阻力越小,流量計的始動流量值就越小,在小流量區段量限越寬;流體密度越大,始動流量值也就越小。
實際特性曲線:
隨著旋轉角速度的增加,在流量計的測量范圍內,機械摩擦阻力矩可以忽略不計了,流體阻力矩Tf成為影響特性的主要因素。不同的流動狀態,阻力產生的機理不同,所以應分開分析。 在層流狀態時,流體阻力矩Tf可寫成:
式中,c,為常數,此時:
由此式知,在層流流動狀態時,儀表系數與流量的變化和流體粘度的變化有關在紊流狀態時,流體阻力矩Tf可寫成:
式中,c2為常數,此時:
分析上式,在紊流流動狀態下,儀表系數只與流量計本身結構參數有關,可以近似為一常數。儀表系數為常數這一區間,就是該流量計的流量測量范圍。 通過分析,可作出渦輪流量計的特性曲線,如下圖4-4所示。 通常將流量計在測量范圍內儀表系數的變化幅度稱為其測量準確度。



圖4-4渦輪流量計特性曲線
渦輪流量計信號檢測的工作原理:

圖4-5渦輪示意圖
圖4-5所示為渦輪的原理示意圖。在管道中心安放一個渦輪,兩端由軸承支撐。當流體通過管道時,沖擊渦輪葉片,對渦輪產生驅動力矩,使渦輪克服摩擦力矩和流體阻力矩而產生旋轉。在一定的流量范圍內,對一定的流體介質粘度,渦輪的旋轉角速度與流體流速成正比。由此,流體流速可通過渦輪的旋轉角速度得到,從而可計算得到通過管道的流體流量。

圖4-6渦輪流量計總體框圖
渦輪的轉速通過裝在機殼外的傳感線圈來檢測。當渦輪葉片切割由殼體內磁鋼產生的磁力線時,就會引起傳感線圈中磁通變化,傳感線圈將磁通的周期變化信號送入前置放大器,對信號進行放大、整形,產生與流速成正比的脈沖信號,送入單位換算與流量積算電路得到并顯示累積流量值;同時亦將脈沖信號送入頻率一電流轉換電路,將脈沖信號轉換成模擬電流量,進而指示瞬時流量值。
實驗數據及分析:
實驗選用了一塊天津市新科儀表有限公司生產的LWQ-C-100型DN50氣體渦輪流量計,其標稱流量范圍((3. 3^-100) m3/h。依照JJG198一1994《速度式流量計》計量檢定規程,流量檢定點應包括。m ax、0' 7 qmax、o.4 Cmax、.2.5Cmax、o. 1 5 Cmax、7Cmax和qmin(若前6個流量點中某流量點流量小于qmin時,此流量點可以不計)。由于實驗是研究性的而不是對流量計的檢定,并考慮到實驗用臨界流噴嘴氣體流量標準裝置實際情況,將流量檢定點確定為:100 m3/h, 70m3/h, 40m3/h,25m3/h, 15m3/h, 7. 5m3/h, 2. 5m3/h,其中雖然流量點2. 5m3/h小于下限流量3. 3 m3/h可以不計,但是作為參考也將該流量點列入。
相同壓力下不同流量點的實驗數據及分析:
為了保證音速噴嘴在喉部達到音速,并考慮到穩壓閥的調壓范圍,實驗選擇在壓力230kPa, 300kPa, 400kPa, 500kPa四種工作壓力下進行。在測量范圍內每個壓力點的壓力變化不超過1kPa。
釋義1:
輪機上常用的流量測量方法,大致可分為速度式和重量式兩類,速度式流量測量方法中 又以差壓式使用***廣泛。
3.3.1 速度式流量測量儀表
1)渦輪流量計結構,如圖1.2.1-66所示,它是由渦輪、導流器、磁鋼、感應線圈等 組成,當被測流體通過時,沖擊渦流輪葉后,使渦輪旋轉,在一定的流量范圍內,一定的流 體粘度下,渦輪轉速與流速成正比。當渦輪轉動時,渦輪上由導磁不銹鋼制成的螺旋形葉片 輪流接近處于管壁上的檢測線圈,周期性地改變檢測線圈磁電回路的磁阻,使通過線圈的磁 通量發生周期性變化,使檢測線圈產生與流量成正比的脈沖信號,此信號經前置放大器放大 后,可遠距離傳送至顯示儀表。在顯示儀表中,對輸入脈沖進行整形,然后一方面對脈沖信 號進行積算以顯示總量,另一方面將脈沖信號轉換為電流輸出指示瞬時流量。


圖1.2.1-66 渦輪流量變送器
1-渦輪; 2-導液器; 3-軸承; 4-感應線圈; 5-磁鐵; 6-殼體
2)電磁流量計
這種流量計是基于磁感應原理,如圖1.2.1-67所示,是其結構示意圖,在工作管道的兩 側有一對磁極,另有一對電極安裝在磁力線和管道垂直的平面上,當導電流以平均速度V流 過直徑為D的測量管段時切割磁力線,于是在電極上產生感應電勢E,則電勢:
E=C1BD

(1.2.1-78)
式中: C1——常數;
B——磁感應強度。
因為流過儀表的容積流量


(1.2.1-79)
合并以上兩式,得


(1.2.1-80)
或


(1.2.1-81)
式中: K——電磁流量計的儀表常數


當儀表口徑D和磁感應強度B一定時,K為定值。感應電勢與流體容積流量存在線性關 系。
為了避免極化作用和接觸電位差的影響,工業用電磁流量計通常采用交變磁場。其缺點 是干擾較大。采用直流磁場對于真實地反映流量的急劇變化有利,故適用于實驗室等特殊場 合或用來測量不致于引起極化現象的非電介性液體。
電磁流量計的感受件結構,如圖1.2.1-68所示。
3.3.2 差壓式流量測量儀表
差壓式測量方法是流量或流速測量方法中使用歷史***久和應用***廣泛的一種。它們的共 同原理是根據伯努利方程測量流體流動過程中產生的差壓來測量流量或流速。屬于這種測量方法的流量計有如下幾種


圖1.2.1-67 電磁流量計結構示意圖


圖1.2.1-68 電磁流量計感受件結構示意圖
1-導管和法蘭; 2-外殼; 3-馬鞍形激磁線圈 4-磁軛;5-電極;6-內襯


圖1.2.1-69 具有橢圓頭部的標準畢托管
1)畢托管
畢托管是利用測量流體的全壓和靜壓之差——動壓Δp來測量流速,如圖1.2.1-69所示, 為具有橢圓頭部的標準畢托管。
測量時,必須將畢托管牢固固定,并且必須使畢托管探頭的軸線與管道中心線平行,這 可用畢托管上附有的對準柄來對準。
2)轉子流量計
轉子流量計由一段垂直安裝并向上漸擴的圓錐形管和在錐形管內隨被測介質流量大小而 作上下浮動的浮子組成。如圖1.2.1-70所示,當被測介質流過浮子與管壁之間的環形流通面 積時,由于節流作用在浮子上下產生差壓Δp,此差壓作用在浮子上產生使浮子向上的力,當此力與被測介質對浮子的浮力之和等于浮子重力時,浮子處于力平衡狀態,浮子就穩定于錐 形管的一定位置上。由于測量過程中浮子的重力和流體對浮子的浮力是不變,故在穩定的情 況下,浮子受到的差壓始終也是恒定的。當流量增大時,差壓增加,使浮子上升,浮力與管 壁之間環形通流面積增大,使差壓減小,直至浮子上下的差壓恢復到原來的數值、這時浮子 平衡于較上部新的位置上,因此可用浮子在錐形管中的位置來指示流量。


圖1.2.1-70 轉子流量計原理圖
1-錐形管; 2-轉子


圖1.2.1-71 重量法自動測油耗示意圖
3.3.3 重量或測量油耗的儀表
用重量法測油耗的基本原理是利用測量消耗一定重量G的燃油所花時間t,然后再用下式 算出耗油率gt
gt=G×3600/Ne·t g/kW·h
(1.2.1-82)
式中: G——消耗燃油重量,g;
t——經歷時間間隔,s;
Ne——功率,kW。
目前,輪機中常用的轉速油耗自動測量儀,其基本原理如圖1.2.1-71所示,其測量裝置 示意圖。
天平架在主刀口上,右邊托盤上放著砝碼,左盤放量油杯,天平右臂上裝有擋光片,其 兩側分別裝有光源和光電傳感器,擋光片用來控制兩個光電傳感器,由傳感器再發出各種動 作指令。
油杯無油時,天平傾向右側,如圖1.2.1-71b)所示,擋光片使兩個光電傳感器發出指令, 使電磁閥門控制器打開,以便向油杯加油。隨著油杯油量逐漸增多,天平漸趨平衡位置,天 平的右邊盤與砝碼相接觸,并使天平暫時停留在這一位置,但加油仍在繼續,直至左端重量 大于右端重量 (包括砝碼) 時,法碼重量方全部由輔助刀口轉至左托盤上,天平隨之傾向左 邊,如圖1.2.1-71c) 所示,光電傳感器受到光照并發出指令,使電磁閥關閉,加油停止。 測量時,由于發動機逐漸消耗油杯中油量,天平則趨向于平衡位置,當剛到平衡位置時,砝 碼和輔助刀口剛好相接觸,但重量仍全部由天平承擔,由于此時擋光片擋住了光電傳感器 (計),則發出指令,使計數控制機構開始計數。直至燃油耗量等于砝碼重量時,砝碼重量則 轉移到輔助刀口上,繼而使天平平衡破壞而倒向右測,如圖1.2.1-71a)所示,同時擋光片 擋住光電傳感器 (停),并發出指令,使計數控制器停止計數,使電磁閥打開并向油杯充油。
我國生產的SYZZ轉速油耗自動測量儀,是由轉速傳感器,自動燃油天平,控制顯示器 三部分組成。
1)轉速傳感器
當發動機轉動時,轉速傳感器通過裝在發動機軸上的60牙齒輪不斷地切割傳感器所產生 的磁力線。因而在傳感器線圈兩端不斷地產生脈沖信號,這些脈沖信號通過控制顯示器用八 段螢光數碼顯示出發動機的轉速或消耗一定重量燃油時的總轉數。


圖1.2.1-72 轉速油耗自動測量儀
2)自動燃油天平
天平有6個稱量砝碼,測量范圍為100g到2kg。
3)控制顯示器
該控制顯示器系采用集成電路組裝而成,該儀器具有抗干擾性、靈敏度高、精度較高等 特點。
測量過程中,控制顯示器能使整個測量過程按正常程序連續地重復工作,并不斷地顯示 發動機在一定的工況下的轉速; 消耗一定重量燃油所用時間及在這段時間里發動機的總轉速 等數據,并不斷地定時油杯供油,如圖1.2.1-72所示。
釋義2:
一、渦輪流量計概述
渦輪流量計是葉輪式流量計的一種,具有重復性好、度高、結構簡單、加工零部件少、 重量輕、維修方便、流通能力大和可適應高參數(高溫、高壓和低溫)等優點。因此,廣泛應用于 石油天然氣行業。
(一)工作原理
當被測流體流過傳感器時,在流體作用下,葉輪受力旋轉,其轉速與管道平均流速成正 比,葉輪的轉動周期地改變磁電轉換器的磁阻值。檢測線圈中磁通隨之發生周期性變化,產生 周期性的感應電勢,即電脈沖信號,經放大器放大后,送至顯示儀表顯示。
渦輪流量計的實用流量方程為:
qv=f/K qm=qtρ
式中
q——體積流量,m3/s qm——質量流量,kg/s;
f——流量計輸出信號的頻率,Hz;
K——流量計的儀表系數,P/m3。
(二)主要特點
渦輪流量計具有以下特點:
1)高度,對于液體一般為±0.25%R~±0.5%R,高精度型可達±0.15%R;對于氣體 一般為±1%R~±1.5%R,特殊專用型為±0.5%R~±1%R。
2)重復性好,短期重復性可達0.05%-0.2%。
3)輸出脈沖頻率信號,適于總量計量及與計算機連接,無零點漂移,抗干擾能力強。
4)可獲得很高的頻率信號(3~4kHz),信號分辨力強。
5)范圍度寬,中大口徑可達40:1~10:1,小口徑為6:1或5:1。
6)結構緊湊輕巧,安裝維護方便,流通能力大。
7)適用高壓測量,儀表表體上不必開孔,易制成高壓型儀表。
8)專用型傳感器類型多,可根據用戶特殊需要設計為各類專用型傳感器。
9)可制成插入型,適用于大口徑測量,壓力損失小,價格低,可不斷流取出,安裝維護方 便。
10)難以長期保持校準特性,需要定期校驗。對于無潤滑性的液體,液體中含有懸浮物或 磨蝕性,易造成軸承磨損及卡住等問題。
11)流體物性(密度、粘度)對儀表特性有較大影響。氣體流量計易受密度影響,而液體流 量計對粘度變化反應敏感。
12)流量計受來流流速分布畸變和旋轉流的影響較大,傳感器上下游側需設置較長的直 管段,如安裝空間有限制,可加裝流動調整器(整流器)以縮短直管段長度。
13)不適于脈動流和混相流的測量。
14)對被測介質的清潔度要求較高,壓損大、維護量大。
15)小口徑(DN50以下)儀表的流量特性受物性影響嚴重。
二、RMG TRZ03渦輪流量計
(一)結構與原理
TRZ03渦輪流量計本體包含了帶有渦輪軸的測量系統,測量元件的上游安裝了整流器, 能充分消除氣流的擾動和旋渦,使氣體平穩地通過測量元件。承壓側的渦輪產生的旋轉運動 通過渦輪渦桿及磁耦合機構傳送到非承壓側的表頭,渦輪轉速經過表頭的齒輪機構被減速, 減速比可通過選擇適當的可調節齒輪進行調整,機械計數器顯示出工況下的體積流量,同時 輸出相應的低頻脈沖信號。在渦輪流量計的葉輪和輔助葉輪上輸出感應式高頻信號。輔助葉 輪是一個凸輪,它與渦輪安裝在同一個軸上,能與渦輪同步工作。(結構圖見下頁)。
RMG TRZ03渦輪流量計符合DIN33800標準,是適用于氣體流量計量。流量計機械表頭顯 示工況壓力和溫度條件下的累計體積流量。
氣體通過進口端的整流器后,作用在軸向安裝的葉輪上。葉輪的轉速和氣體的流速成正 比,通過渦輪渦桿及磁耦合機構將葉輪的轉動傳送到表頭計數器。


(二)使用與維護
1.操作對測量的影響
當氣流流速急速降低或是突然停止流動時,由于慣性作用,在一定時間內,渦輪還會保持 轉動,這樣會使計量的氣量比實際氣量要多。當氣流流速急劇增加或是啟動過快,渦輪會因氣 流的沖擊力造成損壞,影響正常工作。因此應盡量避免氣體流速的急速變化。
另外,由于上游或下游活塞式壓縮機、調壓閥、沒有氣流的管路等因素的影響,會引起的 氣流的震動和脈沖,這些振動和脈沖會引起渦輪流量計的軸因負載過重而導致過早地磨損。 因此,避免震動和氣流的脈沖也是必要的。一般來說,當干擾頻率超出100Hz時,對渦輪流量計 的測量度不太可能產生影響,但實際上,干擾信號的頻率很難達到這個值。當干擾頻率低 于0.1Hz時,就會出現“準穩定流”,也不會對計量數據產生任何影響。因此,干擾頻率對氣流的 影響范圍是0.1~100Hz,只有在這個范圍內時,氣流才會產生共振,出現一個較高的相對振幅, 從而影響渦輪流量計的計量精度。
2.潤滑
除了需要定期潤滑以外,渦輪流量計幾乎是免維護的。為了保證渦輪流量計的潤滑, TRZ03渦輪流量計上安裝了一個油壓按鈕泵,如果沒有安裝油壓按鈕泵的,可用油槍或是杠 桿泵對其進行潤滑。潤滑周期是在正常使用條件下,每三個月潤滑一次,方法是:按鈕壓力泵 按壓6次;油槍和杠桿泵按壓2次。在下面幾種情況下:由于水或烴而導致水化物的產生、氣體 里面灰塵等雜質過多或是工作溫度超過50℃,潤滑的周期應該縮短,甚至在極限條件下一天 一次。
三、RMG EC694體積修正儀
(一)結構與原理
氣體渦輪流量計測到的氣體體積流量是實際工作狀況下的體積流量(也叫工況流量)。由 于氣體可以被壓縮,則標準體積流量應該是根據工況體積流量進行補償計算(校正)得到的。 此時,要使用氣體的標準狀態(即壓力為一個標準大氣壓、溫度為20℃)和氣體質量的相關參 數。EC694體積修正儀與渦輪流量計TRZ03連接后,從 TRZ03中采集流量脈沖信號、壓力信號、溫度信號,在 內部基于理想氣體狀態方程進行補償計算、存儲數據 并顯示計算出來的標準流量數據,還留有必要的接口 以便與計算機等設備通訊,完成數據上傳等功能。
(二)顯示與操作
1.操作面板
EC694體積修正儀可以直接在設備面板上方便地 進行各種菜單的操作,一些重要的數據可以利用功能 鍵直接進行選擇查看。EC694體積修正儀的菜單采用 坐標系統,坐標系統共有15列31行,操作員可利用方向 鍵在菜單系統中查看每一個參數。顯示屏采用一個能顯 示兩行、每行16個字符的LCD顯示器,能夠同時顯示參 數的名稱、數值和單位等信息。其面板如右圖所示。


2.功能鍵:

按這個鍵可顯示壓力值,再按上下方向鍵可顯示所有與壓力有關的值;按向左方 向鍵顯示錯誤信息,可利用上下方向鍵滾動查看。

按這個鍵可顯示溫度值,再按上下方向鍵可顯示所有與溫度有關的值。

按這個鍵可顯示壓縮系數值和K值,并且可以利用上下方向鍵來查看所有與氣 體分析有關的值。

·按這個鍵可顯示累計值,并且可以利用上下方向鍵來查看所有與累計量有關 的參數。
·按右方向鍵顯示流速,且可以利用上下方向鍵來查看所有與流速有關的參數。
·按右方向鍵顯示測試值,且可以利用上下方向鍵來查看所有與測試累計值有 關的參數。

·按右方向鍵顯示ID數據,并且可以利用上下方向鍵滾動查看。
·按右方向鍵顯示操作模式,并且可以利用上下方向鍵滾動查看。
·按右方向鍵顯示錯誤信息,并且可以利用上下方向鍵滾動查看。
3.特殊功能鍵:

上下方向鍵:
用于一列中行的切換,在一列中的行按向上方向鍵時,可跳到該列的***后一 行;在輸入狀態下,上下方向鍵可增減數值或滾動字母。

左右方向鍵:
用于一行中列的切換,在一行中的列按向左方向鍵時,可跳到該行的***后一 列;在***后一列按向右方向鍵時,可跳到列;在輸入狀態下,用左右方向鍵來選擇 一個數據中的某一位。

撤銷鍵:
·按該鍵直接顯示ID數據
·按向右方向鍵一次顯示操作模式
·按向右方向鍵兩次顯示故障信息
·在輸入模式下,按此鍵可以清楚輸入某一區域的變化。

確認鍵:
·在標定開關使能或是用戶密碼正確輸入的情況下,按此鍵可初始化某一數據輸入。
·完成一個數據的輸入或是操作模式切換的確定。
·如果不是在輸入模式下,按該鍵兩次可從簡稱切換到坐標。

開始鍵:
按此鍵可初始化各種功能,例如復位故障、啟動校驗等。
三、EC694的坐標系統
EC694的坐標系統直觀地表明了每個參數所在的位置,通過坐標系統的列表,可利用操 作面板上的按鍵方便地找到組態數據、測量數據和計算數據等相應的參數,并進行有關操作。 坐標系統共有15列31行。用A~O 15個英文字母來標記列;除***上面一行(標題行)沒有編號 外,其他行用0~30編號。下面的兩個表格列出了EC694坐標系統,在這兩個表格中可以找到 EC694所有的參數。
A~J坐標系統



DisDlay field

Input field locked via code number

Input field lolcked via calibration switch
K~O坐標系統



DisDlay field

Input field locked via code number

Input field lolcked via calibration switch
釋義3:
[應用釋義] 儀表流量計:儀表流量計是對管道內液體或氣體的流量進行測量和控制,也是實現生產過程自動化的一項重要任務。流量的測量方法較多,按原理分,有節流式,速度式、容積式、電磁式等,它們各有一定的適用場合。
1.節流式流量計:在管道中放入一定的節流元件,如孔板、噴嘴、靶、轉子等,使流體流過這些阻擋體時,流動狀態發生變化。根據流體對節流元件的推力或在節流元件前后形成的壓差等,可以測定流量的大小。
(1)差壓流量計:根據節流元件前后的壓差測量流量計稱為差壓流量計,主要由節流裝置及差壓計兩部分組成。盡管差壓流量計精度較差,但它結構簡單,制造方便,目前還是使用***普遍的一種流量計。
(2)靶式流量計:靶式流量計與差壓流量計不同的是,它使用懸在管道中央的靶作為節流元件,且輸出信號不是取節流元件前后的差壓,而是取流體作用于靶上的推力。靶式流量計與差壓流量計這兩種流量計的流量與檢測信號之間的關系都是非線性的,必須將差壓或推力信號進行開方運算后,才能得到流量信號。由于這種關系的非線性,大大限制了這些流量計的有效測量范圍,一般可測的***大流量與***小流量之比約為3∶1。因為流量小到滿量程的三分之一時,差壓或推力已只有滿量程的十分之一左右,信號再小時,精度就難滿足了。
(3)轉子流量計:在小流量的測量中,轉子流量計是使用***廣的一種流量計。
2.容積式流量計:容積式流量計的代表性產品是橢圓齒輪流量計。由于橢圓齒輪流量計是直接按照固定的容積來計量流體的,所以只要加工,配合緊密,防止腐蝕和磨損,便可得到極高的精度,一般可達0.2%,較差的亦可保證0.5%~1%的精度,故常作為標準表及精密測量之用。
3.渦輪流量計:由于差壓式流量計精度太低,而容積式又價格太貴,在50年代出現了渦輪流量計,其精度介于兩者之間,約為0.25%~1.0%。
渦輪流量計一般用來測量液體的流量。雖然也可測量氣體流量,由于氣體密度低,推動力矩小,且高速旋轉的渦輪軸承在氣體中得不到潤滑而容易損壞,故很少用于氣體。為了保證流體沿軸向推動渦輪,渦輪前后都裝有導流器,把進出的流體方向導直,以免流體的自旋改變與葉片的作用角,影響測量精度。盡管這樣,在安裝時仍要注意,在流量計前后必須有一定的直管段。一般規定,入口直段的長度應為管道直徑的10倍以上,出口直段長度為管道直徑的5倍以上。
渦輪流量計的優點是刻度線性,反應迅速,可測脈沖流量。但這種流量計的讀數也受流體粘度和密度的影響,也只能在一定的雷諾數范圍內保證測量精度。由于渦輪流量計內部有轉動部件,易被流體中的顆粒及污物堵住,只能用于清潔流體的流量測量。
4.電磁流量計:以上幾種流量測量方法都要在管道中設置一定的檢測元件,總要造成一定的壓力損失,而且容易堵塞或卡住。電磁流量計采用了完全不同的原理,以電磁感應定律為基礎,在管道兩側安放磁鐵,以流動的液體當作切割磁力線的導線,由產生的感應電動勢測知管道內液體的流速和流量。
電磁流量計的優點是管道中不設任何節流元件,因此可測各種粘度的液體,特別宜于測量含各種纖維和固體污物的物體。此外,對腐蝕性液體也很適用,因為測量管中除了一對由不銹鋼或金、鉑等耐腐蝕性材料制成的電極與流體直接接觸外,沒有其他零件和流體接觸,工作非常可靠。電磁流量的測量精度約為1%,刻度線性,測量范圍寬,反應速度快,且可測水平或垂直管道來回兩個方向的流量。從電磁流量計的工作原理看出,它只能測導電液體的流量,被測液體的導電率至少為50~100μΩ/cm(自來水的電導率約為100μΩ/cm),故不能測量油類及氣體的流量。此外,被測液體中不能含大量氣泡,由于氣泡是不導電的,它的存在使輸出變得比較困難。
釋義4:
一般來說,選用渦輪流量計的主要目的是其高準確度,故在貿易儲運計量、物料平衡和成本核算計量等方面應用較多。
目前流量計準確度大致情況為:
液體流量計: 國際上為±0.15%R,±0.2%R,±0.5%R和±1%R;國內為±0.5%R和±1%R。
氣體流量計: 國際上為±0.5%R,±1%R;國內市場為±1%R,±1.5%R。
以上準確度皆指范圍度為10∶1時。
保持渦輪流量計的準確度可采取的措施有:
① 對高準確度使用,必須經常校驗。對于管線傳輸計量,***好配備在線校驗設備,如標準體積管流量校準裝置。
② 縮小范圍度,可提高準確度。特別,作為校驗裝置標準用表,定點使用可大大提高準確度。
③ 應用智能儀表(或叫流量計算機)進行各種影響量的補償,如壓力溫度補償、粘度補償、非線性補償(雷諾數補償)等,提高測量準確度。
④ 選擇流量計使葉輪工作于較低轉速的流量范圍,以延長流量計的使用期限。連續式工作,選擇的儀表流量上限為實際***大流量的1.4倍,間歇式工作,為1.3倍。
⑤ 渦輪流量計是對流體粘度變化比較敏感的儀表,粘度增大將使儀表系數線性區域變窄,下限流量增大。液體用渦輪流量計一般用水校準。使用于運動粘度為5×10-6mm2/s 以下液體時,可不考慮粘度的影響,否則需采取措施補償粘度的影響,如縮小使用范圍度,提高流量下限值,儀表系數乘以雷諾數修正系數等。
⑥ 石油工業中,渦輪流量計因為結構緊湊,重量輕,維修簡便,安全性好,可以容忍夾帶一些固體物而不致堵塞管道等特點得到推廣使用。
選用渦輪流量計的流體有潔凈(或基本潔凈)、單相、粘度不高的流體。如化學類溶液: 氨水、甲醇、鹽水等;石油化工類: 石腦油、乙烯、聚乙烯、苯乙烯、液化石油氣、天然氣;液態氣體: 液氧、液氮等;一般流體: 水、空氣、氧氣、高壓氫氣、牛奶、咖啡等。
不選用渦輪流量計的對象為含雜質多的流體,如循環冷卻水、河水、污水、燃油等;管道壓力不高,流量較大(流速高),有可能產生氣穴的場合;附近存在嚴重的電磁場干擾的場所,如附近有電焊機、電動機、帶觸點繼電器等,這些設備的存在會對流量計輸出電信號產生干擾;上下游直管段很短的場合等。
