渦輪流量計流量標準檢定規程,音速噴嘴氣體流量
流量標準裝置是流量單位量值統一與傳遞的標準,也是保證流量計量儀表準確一致的重要工具。通過使用流量標準裝置可以確保不同地區不同部門不同企業的流量量值與標準量值統一。使用流量標準裝置檢定流量計,可以確定流量計的準確度等級、過載能力、可靠性、壽命和重復性等,還可以研究流量計的動態特性,分析標況條件與工況條件之間的差異對流量計性能的影響。此外,流量計是計量法規定的強檢計量器具,且常用與貿易結算計量,因此必須進行周期檢定。 目前,常見的流量標準裝置可以分為液體流量標準裝置和氣體流量標準裝置兩大類,如圖 5.1 和圖 5.2。

圖 5.1 液體流量標準裝置分類圖

圖 5.2 氣體流量標準裝置分類圖

圖 5.3 音速噴嘴氣體流量標準裝置實物圖
音速噴嘴氣體流量標準裝置的結構:
音速噴嘴氣體流量標準裝置通常由氣源、試驗管路、臨界流流量計、計時器和控制設備等組成。其中氣源包括壓氣機和壓力儲氣罐、標準系統、原始標準系統。臨界流流量計主要分音速噴嘴和音速文丘里噴嘴兩種。音速噴嘴又稱臨界流噴嘴,它的喉部后面不帶擴張管;音速文丘里噴嘴又稱臨界流文丘里噴嘴,它的喉部后面帶有擴張管。臨界流流量計包含一次裝置和二次裝置兩部分。一次裝置是音速噴嘴或音速文丘里噴嘴,二次裝置包括測量一次裝置前氣體滯止壓力 P0的壓力計和測量一次裝置前氣體滯止溫度 T0的溫度計。臨界流量計中的噴嘴安裝在滯止容器壁上,不同喉徑的噴嘴組合可以給出多個恒定質量流量點。
音速噴嘴根據 ISO9300 等相關標準按照一定的幾何形狀設計制造。根據空氣動力學理論[59],當音速噴嘴的上游滯止壓力恒定不變時,降低音速噴嘴的下游壓力,當音速噴嘴的下游壓力達到一定值時,下游壓力與上游壓力之比達到臨界壓力比。此時通過音速噴嘴喉部截面的氣體流速達到音速,通過音速噴嘴的氣體質量流量達到***大,即使進一步降低下游壓力其流量也不會再增加。流出音速噴嘴的氣體質量流量由音速噴嘴喉部面積和上游的流體參數共同決定。在滿足臨界壓力比的條件下,通過音速噴嘴的氣體質量流量只與音速噴嘴的上游壓力有關,而不受噴嘴下游壓力的影響。根據這一特性,臨界流流量計成為了應用于氣體流量標準裝置***主要的氣體流量標準器。
音速噴嘴氣體流量標準裝置按照氣源壓力的不同進行分類,有正壓法和負壓法兩種。負壓法的流量范圍受到限制,但是其噴嘴上游壓力為大氣,故流量穩定性好。本實驗使用的是浙江蒼南儀表廠檢定中心的負壓法音速噴嘴氣體流量標準裝置。

圖 5.4 負壓法音速噴嘴氣體流量標準裝置結構圖
1—過濾器,
本實驗所采用的負壓法音速噴嘴氣體流量標準裝置的檢定介質為空氣,標準裝置的***大工作流量為 1050 m3/h,裝置擴展不確定度為 0.25%。其關鍵部件臨界流量計是由 16 個不同喉徑的音速噴嘴組成,可采用不同喉徑的音速噴嘴進行組合以滿足不同檢定流量點的需求,各音速噴嘴參數見下表 5.1。

表 5.1 各音速噴嘴參數表
音速噴嘴氣體流量標準裝置有 2 臺真空泵,單臺真空泵的抽氣速率為270m3/min,***大工作壓力為 1.8MPa。安裝在管道上的溫度傳感器 T 和壓力傳感器 P1 與工控機連接,可檢測被檢儀表管道內壓力和工作溫度,壓力變送器P1 的測量范圍為 0-1000k Pa,溫度傳感器 T 的測量范圍為 0-50°C。滯止容器上安裝的溫度傳感器 Ti和壓力傳感器 P 與工控機連接,溫度傳感器 Ti的測量范圍為 0-50°C,壓力傳感器 P 的測量范圍為 0-1000k Pa。
音速噴嘴氣體流量標準裝置的工作原理 :
音速噴嘴氣體流量標準裝置的工作原理是基于流體力學的連續性方程。以臨界流流量計為標準器,當氣體連續通過臨界流流量計和試驗管路時,標準裝置瞬時流量由臨界流流量計給出,累積流量由臨界流流量計和計時器給出。對流量計進行檢定時,比較相同狀態臨界流流量計和被檢流量計流量,從而確定被檢流量計的計量性能。
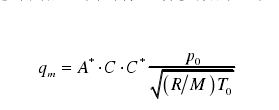
負壓法音速噴嘴氣體流量標準裝置檢定流量計時,首先按檢定流量確定使用的噴嘴組合,用開關閥關斷不需要使用的噴嘴管路。啟動真空泵,在真空泵的作用下,真空罐內的壓力不斷下降,當噴嘴下游和上游的壓力比小于臨界壓力比時,氣體質量流量達到***大,穩定保持在檢定流量點。開始試驗時,同時記錄噴嘴上游氣體滯止溫度、滯止壓力、被測流量計的輸出值和試驗管路處的溫度和壓力。經過一定時間后,同時停止各參數的記錄。此時,噴嘴給出的瞬時質量流量為 
通過試驗管路的氣體質量流量為 qm,測量試驗管路處氣體的溫度 T、壓力P 和密度 ρ,則通過試驗管路處的氣體瞬時體積流量為 
實驗流程:
渦輪流量計是速度式流量計中應用***廣的流量計,其檢定有單獨制定的專用標準 JJG1037-2008《渦輪流量計檢定規程》。本實驗遵從該標準進行實驗檢定。
渦輪流量計的檢定采用直接測量法在流量標準裝置上進行檢定,將被檢量與標準量進行比較,即標準裝置上的流量標準量與被檢流量計示值進行比較。
按照渦輪流量計的檢定規程 JJG1037-2008 的要求,流量計的檢定應包含qmin、0.1qmax 、0.25qmax、0.40qmax、0.70qmax和 qmax這 6 個流量點,即在 13 m3/h、25 m3/h、62.5 m3/h、100 m3/h、175 m3/h、250 m3/h 流量值進行工況環境實驗檢定。具體實驗流程如下:
(1) 開啟音速噴嘴法氣體流量標準裝置電源,真空泵運行調節儲氣容器內的氣壓,待氣壓穩定達到檢定要求后方可開始檢定;
(2) 在音速噴嘴法氣體流量標準裝置上選取相應口徑的管道安裝被檢流量計并連接相應傳感器,如圖 5.5。流量計與前后直管段要同軸安裝,其試驗管段的連接部位應無泄露且保證連接處的密封墊未凸入流體管道內;

圖 5.5 渦輪流量計檢定安裝圖
(3) 打開音速噴嘴法氣體流量標準裝置工控機上的檢定程序,設定檢定流量值,并確定環境溫度、濕度以及裝置內氣體溫度、濕度符合檢定標準,檢定程序界面見圖 5.6;

圖 5.6 工控機檢定程序界面
(4) 在工控機上運行檢定程序,流量計在可達到的***大檢定流量的70%~100%范圍內運行 5min 后,流體溫度、壓力和流量穩定后開始正式檢定各規定的流量值;
(5) 檢定過程中,要隨時注意壓力、溫度、流量的變化,每調整到一個檢定流量點,都應等待壓力、溫度、流量穩定后才可進行檢定,且每個流量點的檢定 3 次,工控機會同時進行測量并記錄標準裝置和流量計的流量值、大氣壓力、流體溫度、表壓力和檢定時間等;
(6) 完成各規定流量值的檢定后,輸出數據記錄并進行數據處理;
(7) 關閉音速噴嘴法氣體流量標準裝置。
實驗結果:
在經過溫濕度修正等數據處理后,使用音速噴嘴法氣體流量標準裝置對原型號渦輪流量計進行的實驗測量得到表 5.2 的檢定結果。該實驗檢定結果為第四章中數值模擬計算的壓力損失值提供了實驗數據支撐,驗證了數值模擬的可靠性。考慮到時間、成本及安全等因素,尚未進行開模和實驗對比驗證。后續可在考慮后導流器結構強度的同時選出較優模型開模并進行實驗驗證。

表 5.2 原型號渦輪流量計的實驗檢定結果
實驗得到的渦輪流量計壓力損失與流量之間的關系已于前一章的圖 4.5 給出,圖中還給出了實驗值與計算值的比較。
小結:
常見的流量標準裝置可以分為液體流量標準裝置和氣體流量標準裝置兩大類,本章著重介紹了屬于速度法標準裝置的音速噴嘴氣體流量標準裝置的結構及其工作原理。 本文實驗使用的是浙江蒼南儀表廠檢定中心的負壓法音速噴嘴氣體流量標準裝置。負壓法音速噴嘴標準裝置由三部分組成,包括過濾器、被檢儀表、開關閥門、滯止容器、音速噴嘴(臨界流流量計)、真空罐、調節閥門和真空泵。
其工作原理可以簡要概括為:氣體連續通過臨界流流量計和試驗管路,標準裝置瞬時流量由臨界流流量計給出,累積流量由臨界流流量計和計時器給出。對流量計進行檢定時,比較相同狀態臨界流流量計和被檢流量計流量,從而確定被檢流量計的計量性能。
